|
Внимание, важное сообщение: Дорогие Друзья!
В ноябре далекого 2001 года мы решили создать сайт и форум, которые смогут помочь как начинающим, так и продвинутым пользователям разобраться в операционных системах. В 2004-2006г наш проект был одним из самых крупных ИТ ресурсов в рунете, на пике нас посещало более 300 000 человек в день! Наша документация по службам Windows и автоматической установке помогла огромному количеству пользователей и сисадминов. Мы с уверенностью можем сказать, что внесли большой вклад в развитие ИТ сообщества рунета. Но... время меняются, приоритеты тоже. И, к сожалению, пришло время сказать До встречи! После долгих дискуссий было принято решение закрыть наш проект. 1 августа форум переводится в режим Только чтение, а в начале сентября мы переведем рубильник в положение Выключен Огромное спасибо за эти 24 года, это было незабываемое приключение. Сказать спасибо и поделиться своей историей можно в данной теме. С уважением, ваш призрачный админ, BigMac... |
|
| Компьютерный форум OSzone.net » Программирование, базы данных и автоматизация действий » Программирование и базы данных » Теория - теория алгоритмов |
|
|
Теория - теория алгоритмов
|
|
Пользователь Сообщения: 76 |
Дали задание написать алгоритм и вычеслить его трудоемкость. Есть знающие люди? Первый раз с таким сталкиваюсь.
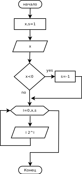
Составить алгоритм (графическое описание) вывода таблицы степеней числа два от нулевой до n. Число n вводится пользователем. Предусмотреть проверку введенных пользователем данных и в случае, если данные неверные, вывести соответствующее сообщение. Вот что у меня получилось: F(x)=2+1+2+|x|*3+1*x^0=5+|3x|+x^0 |
|
|
Отправлено: 23:49, 14-03-2014 |
|
Ветеран Сообщения: 1405
|
Профиль | Отправить PM | Цитировать Трудоемкость алгоритма - n. Т.е. это О большое для алгоритма. По другому трудоемкость, наверное называется сложностью алгоритма.
|
|
------- Последний раз редактировалось mrcnn, 17-03-2014 в 12:45. Отправлено: 12:24, 17-03-2014 | #2 |
|
|
Участник сейчас на форуме |
|
Участник вне форума |
![]() |
Автор темы |
![]() |
Сообщение прикреплено |
| |||||
| Название темы | Автор | Информация о форуме | Ответов | Последнее сообщение | |
| Разное - Реализация на EXCELe некоторых алгоритмов шифрования. | CarlosKING | Программирование и базы данных | 5 | 02-02-2011 17:59 | |
| *Теория* | Сокеты | XPurple | Программирование и базы данных | 1 | 25-09-2006 12:05 | |
| *Теория* | Кодогенерация | Vlad Drakula | Программирование и базы данных | 6 | 28-08-2006 06:49 | |
| *Теория* | Tree via c++ | pva | Программирование и базы данных | 2 | 04-05-2005 13:34 | |
| ТЕОРИЯ | german r | Мобильные ОС, смартфоны и планшеты | 5 | 07-02-2003 09:42 | |
|